近日,我校地理与环境科学学院周秋文教授团队在教育学领域国际TOP期刊《Computers&Education》(中科院一区,SCI/SSCI双检索,IF=10.5)发表题为“Using eye tracking to explore differences and inffuencing factors of map reading ability in different problem situation among high school students”的研究论文。该研究运用眼动追踪技术,深入剖析了高中生在不同问题情境下地图阅读能力的差异,揭示了中学地理教育在培养学生综合思维和实践应用能力方面的不足,为地理教学评价提供了新的视角。

地图作为地理学的“第二语言”,其阅读和应用能力是学生必备的基本技能之一。与现有研究基于结果的评价不同,本研究团队通过眼动追踪技术,整合过程性指标与结果性指标,量化评估了高中生在不同问题情境下的地图阅读能力。在此基础上全面分析了影响学生地图阅读能力的内外部因素,并构建了一个概念框架来说明这些因素之间的复杂影响路径。团队选取了贵阳市某高中的80名高中生作为样本,通过眼动追踪实验,记录了他们在地图阅读过程中的眼动数据。同时,结合问卷调查和测试,综合分析了影响学生地图阅读能力的多种因素。

实验材料及特征
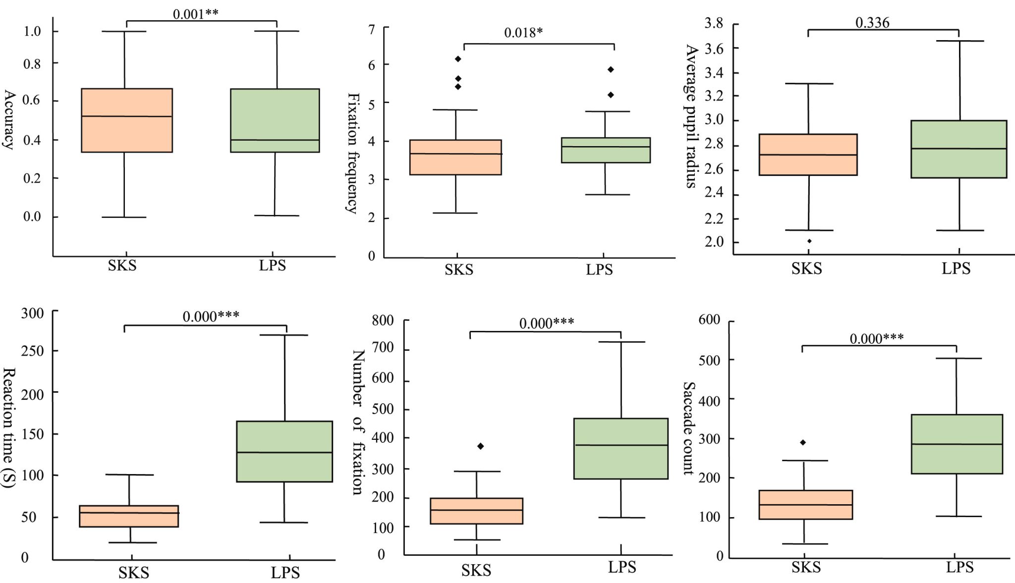
研究发现,在生活实践情境中,学生的反应时间更长,视觉搜索更广泛,信息处理更复杂,但准确率较低。这表明学生在学科知识情境下形成的地图阅读能力不足以满足生活实践情境的需求,在真实情境中应用地图知识的能力仍有待提高。

不同问题情境下高中生地图读图能力测试统计的箱线图
这种差距受到了包括学生自身、教师和家庭在内的多种因素的影响。学习方式、地理综合思维和学习兴趣等内部因素对学生地图阅读能力的差异影响最大,而教师教学方法和家庭资本等外部因素则通过影响内部因素间接发挥作用。

各种因素对地图阅读能力差异的贡献率

内外部影响因素概念模型
该论文第一作者系周秋文教授(通讯作者)指导的2023级学科教学(地理)专业硕士研究生李欣欣。该研究成果得到了贵州省研究生科研基金项目(2024YJSKYJJ173)的支持。
论文全文链接:https://doi.org/10.1016/j.compedu.2025.105466